宝恒电线

建德端子退针的三大项原因分析(上)

浏览量:106263 发布时间:2021-08-14

线束插接器用于汽车电路各连接点的连接,是汽车上的重要零件,其品质好坏直接影响到电力或信号的传输效果。

 

插接器在汽车中占的成本比例较小,但在汽车使用中若出现品质问题,往往产生严重的后果,且维修成本大幅增加。

 

因此,插接器的品质越来越得到汽车制造商零部件供应商的重视。

 

图片

 

端子退针是线束插接器比较常见的一种失效形式。端子退针是指插接器完成装配后,端子与护套非正常分离,从而使插接器功能丧失。

 

此种失效形式的形成原因一般包括3个方面:

 

①端子在护套中的保持力不合格

②对插干涉

③产品应用问题

 

 

端子护套·保持力不合格
Terminal sheaths & Failed holding force

端子在护套中的保持力:沿轴向使端子与护套分离所需的力。

 

为避免出现端子退针的现象,插接器的性能试验标准对端子在护套中的保持力做了严格规定:

 

①规格不大于2.8的插接器保持力大于40N

②规格大于2.8的插接器保持力大于60N

 

实践中较多端子退针现象的产生都是因为保持力不满足规定。一般来说,端子在护套中的保持力不合格的原因有:结构设计问题材料选择问题

 

 


1.结构设计问题

 

结构设计问题主要是指:端子和护套的挂接结构设计。这种挂接结构一般是一种弹性结构,分为护套上采用弹性结构端子上采用弹性结构

 

01
护套上采用弹性结构

  

图片

 

护套上采用弹性结构:将端子和护套装配所需要的弹性结构设计在护套上,在端子和护套装配过程中,通过护套弹舌(设计在护套上的弹性结构)受力变形,实现端子和护套的装配。

 

在端子和护套装配到位后,护套弹舌由于受力解除而恢复至原始状态。该护套弹舌和设计在端子上的挂台结构的配合,保证护套对端子的有效定位。

 

 图片

(交联型弹性体绝缘护套)

 

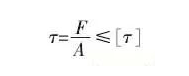
护套弹舌的剪切强度决定了端子在护套中的保持力。剪应力计算公式如下:

 

图片

τ:材料所受的剪应力

F:材料剪切方向受力

A:剪切面积

[τ]:材料的许用屈服剪应力

 

由公式可知:材料剪切方向承受的更大力与材料的剪切面积成正比,与材料的许用剪应力成正比

 

 

护套弹舌设计时,当材料选定后,材料的许用屈服剪应力即固定不变,要保证产品满足端子在护套中的保持力(剪切方向受力)要求,需保证护套弹舌的剪切面积满足要求值。

 

实践中由于考虑到端子和护套的设计间隙,因此剪切面积应按极限恶劣情况计算。

上一篇: 建德【质量管理】进行质量改进的步骤思路

下一篇: 建德端子退针的三大项原因分析(下)

Copyright ©http://www.dgbaoheng.com/ 宝恒电线 专业从事于端子线,端子连接线,碳素纤维线, 欢迎来电咨询!
网站首页 产品展示 关于我们 联系我们